Research
I used to work on simulation and statistical tools for the analysis of Cosmic Microwave Background (CMB) data. I worked on GenAI™, before it was cool, and learned a lot about how to write nice Julia code.
Differentiable likelihoods for cosmology
A key challenge in the next generation of CMB experiments is to extract information beyond the two-point function. This requires the development of new statistical tools that capture the non-Gaussian information present in CMB maps due to gravitational lensing (and in principle other sources). This project extends a recent development in the field of machine learning, the use of differentiable likelihoods, to the field of cosmology.
This project was conducted within the BICEP / Keck and South Pole Telescope collaborations, in particular with Marius Millea and Lloyd Knox.
- github / marius311 /
CMBLensing.jl: whilst the code for this project remains proprietary, it is based on theCMBLensing.jlpackage. - Millea et al 2021: this is an early demonstration of how this technique improves over current methods by improving constraints on the lensing amplitude, \(A_\phi\), using South Pole Telescope data.
Python Sky Model (pysm)
pysm is a public Python package for simulating the full microwave sky in intensity and polarization. I developed it in collaboration with David Alonso and Jo Dunkley to address a need for a flexible and fast simulation tool for the next generation of CMB experiments. It is used by the Simons Observatory, CMB-S4, and the Atacama Cosmology Telescope, as well as others, and the original paper has garnered ~100’s of citations.
These days, the code is managed and developed by a large team of scientists and engineers through the Pan-Experiment Galactic Science working group.
- github / galsci /
pysm: project’s Github repository. - Zonca et al 2021: second
pysmpaper lead by Andrea Zonca at the San Diego Supercomputer Center. This paper focuses on improvements to memor and CPU performance of the code. - Thorne et al 2017: first
pysmpaper lead by me. This paper focuses on the physics of the model and the validation of the code. - PanEx GalSci, in prep, 2023
Generative models of non-Gaussian foregrounds
A key challenge in the next generation of CMB experiments is to extract information beyond the two-point function. This requires an understanding of sources of non-Gaussianity that may be present in the data. This project uses generative models to simulate the non-Gaussianity present in CMB maps due to dust emission from the Milky Way.
- github / b-thorne /
DustVAEder: repository for VAE part of the project. - github / b-thorne /
beGAN: repository for GAN part of the project. - Thorne et al 2021: paper describing the project.
Data Analysis for the Atacama Cosmology Telescope
During my time spent at Princeton (2017 - 2019) I was involved with the Atacama Cosmology Telescope (ACT). I made some small contributions to the analysis of ACT data from the 2013-2016 observing seasons. My main contribution was to compute predictions of the dust power spectrum in the different ACT observation regions and bands to inform the level of sophistication required for modeling the foreground contribution in the likelihood.
- Choi et al 2020: this paper presents the power spectra from the 2013 - 2016 ACT data release.
- Aiola et al 2020: this paper presents the cosmological parameter constraints derived from the power spectra above.
- github / b-thorne /
dusty.
Forecasting Simons Observatory performance with maximum likelihood estimation
- github/ b-thorne /
mesmer: the full code for this project is not publicly available, but this is a Python version of the central pixel-fitting algorithm that I wrote. - Thorne et al 2019: paper describing the project. I actually never got round to replying to the referee report on this paper, much to my shame.
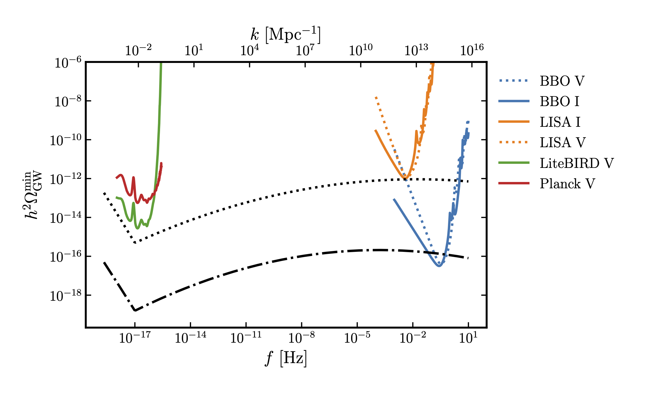
Observables for an axion-SU(2) model of inflation
This project looked at an interesting possibility: that the signature of gravitational waves we see could be generated by a new type of particle, the axion. This is a very active area of research, and I was lucky to work with some of the leading experts in the field, such as Tomohiro Fujita and Eiichiro Komatsu.
We looked at different ways of experimentally detecting the unique signature of these kinds of models: a chiral gravitational wave background. It turns out that laser interferometers (like LIGO but with much longer beams) are the best way to do this, and we were able to show that certain configurations of future versions of these experiments, like LISA, will be able to detect this signal if it is present.

This work was done during a year spent at the Kavil IPMU as part of the Oxford - Kavli IPMU DPhil fellowship program.
- Thorne et al 2017: paper describing the project.
- github / b-thorne /
SU2_CMB - github / b-thorne /
SU2_interferometers